78. 단위행렬

어느 행렬에 곱해도 언제나 1을 곱한것과 같다. 단위행렬은 반드시 정방행렬 이어야 한다.
79. 행렬식

행렬식의 값이 0이 아니면 역행렬이 존재한다.

4x4행렬은 라플라스 전개식을 총 4번 수행하면된다.
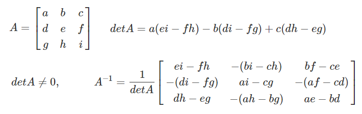
80. 역행렬


3x3행렬은 조금 복잡하다.
1) 소행렬식을 먼저 구하고
2) 여인자 행렬로 변환하고
3) 여인자 행렬을 전치시킨뒤
4) 행렬식의 역수를 곱한다



최종적으로 위와 같은 식이 완성된다.
수기로 계산하게되면 과정이 복잡하고 많기때문에 실수에 유의해야한다.
보통 게임 엔진이나 라이브러리는 벡터와 마찬가지로 행렬 연산에 대한 함수를 제공해준다.
'이론 > 게임수학' 카테고리의 다른 글
| [게임수학] 회전과 보간 (2) (0) | 2023.01.12 |
|---|---|
| [게임수학] 회전과 보간 (1) (0) | 2023.01.12 |
| [게임수학] 벡터와 행렬 (3) (0) | 2023.01.11 |
| [게임수학] 벡터와 행렬 (2) (0) | 2023.01.11 |
| [게임수학] 벡터와 행렬 (1) (0) | 2023.01.10 |
