26. 대수학 기초

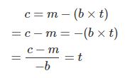
특정 해를 구하는건 위와 같은 방식으로 풀면 된다. 하지만 특정 해가 아닌 t에 대한 일반적인 방정식으로 만들어두어야 게임에서 실시간으로 연산이 가능할 것이다.

이런식으로 모든 항에 대해 방정식을 만들 수 있다.
27. 부등식
양변에 음수를 곱하거나 나눌때는 부등호가 반대가 되어야한다.
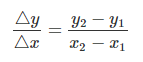
29. 기울기와 절편

절편 : 함수의 그래프가 x축, y축과 만나는 점의 좌표. x절편은 y=0일 때의 좌표, y절편은 x=0일 때의 좌표이다.
30. 선형 방정식

일차함수의 그래프가 평면좌표에서는 직선이기 때문에 직선의 방정식과도 동일하다.
수평선은 기울기가 0인 방정식이 성립되지만 수직선은 x1=x2이기 때문에 분모가 0이라서 방정식을 구할 수 없다.
대신 x=d라는 식을 사용한다.
* 근데 직선의 방정식이랑 선형 방정식도 같은건가?
32. 연립방정식 (치환)

치환을 통해 단항식으로 만들어서 푼다.
33. 연립방정식 (소거)

두 방정식을 계산하여 단항식으로 만들어서 푼다.
연립방정식을 푸는 방법은 그래프 도식화, 치환, 소거 세 가지 방법이 있고 상황에 맞춰서 골라 사용하면 된다.
단, 여기까지는 단일 해가 존재할때의 얘기이다.
34. 평행선
두 직선의 방정식을 연립하였을 때 항이 모두 제거되고 일치하지 않는 상수값이 나오면 평행, 일치하는 상수값이 나오면 두 방정식은 동일하므로 완전히 겹친 직선이 된다.
'이론 > 게임수학' 카테고리의 다른 글
| [게임수학] 대수학과 방정식 (3) (0) | 2023.01.09 |
|---|---|
| [게임수학] 대수학과 방정식 (2) (0) | 2023.01.09 |
| [게임수학] 강의 소개 및 연산 (2) (0) | 2023.01.07 |
| [게임 수학] 강의 소개 및 연산 (1) (0) | 2023.01.07 |
| 토막지식/짧은내용들 정리 (0) | 2022.07.09 |
