https://jason9319.tistory.com/93

 

Topological Sort(위상 정렬)

DAG에서 방향성을 거스르지 않게 정점들을 나열하는 알고리즘을 Topological sort(위상 정렬)이라 합니다. DAG란 Directed Acyclic Graph의 줄임말로 직역하자면 사이클이없는 방향(유향) 그래프 정도가 될

jason9319.tistory.com

설명이 매우 잘되어있다

 

구현은 보통 DFS나 큐로 이뤄짐

- 최대 공약수는 유클리드 호제법, 최소 공배수는 두 수를 곱한 후 최대 공약수로 나누면 된다. 3개인 경우 순차적으로 시행

'알고리즘 > 공부' 카테고리의 다른 글

PS 활용 문법들  (0) 2022.12.29
코딩 테스트에서 자주 출제되는 기타 알고리즘  (0) 2022.07.22
위상정렬  (0) 2022.07.17
이코테 개념 정리  (0) 2022.07.14
그리디 알고리즘, 동적 계획법  (0) 2022.07.05

[시뮬레이션]

 

6098: [기초-리스트] 성실한 개미

더보기
# 0: 갈수있는 곳 1: 벽 2: 먹이
# 계속 오른쪽으로만 가는데 벽이 있으면 한칸 아래로 감

maze = []
x, y = 1, 1
for i in range(10):
  maze.append(list(map(int, input().split())))

dx = (0, 1)
dy = (1, 0)
turn_count = 0

# 첫 위치는 방문처리
maze[x][y] = 9

while True:
  # 회전을 두번 했다면 종료
  if turn_count >= 2:
    break
  
  # 이동할 곳이 벽이 아니라면
  if maze[x+dx[turn_count]][y+dy[turn_count]] == 0:
    x = x + dx[turn_count]
    y = y + dy[turn_count]
    maze[x][y] = 9
    turn_count = 0
  # 이동할 곳이 벽이라면
  elif maze[x+dx[turn_count]][y+dy[turn_count]] == 1:
    turn_count += 1
  # 그 외의 경우는 먹이를 발견했을 때
  else:
    x = x + dx[turn_count]
    y = y + dy[turn_count]
    maze[x][y] = 9
    break

for i in range(10):
  for j in range(10):
    print(maze[i][j], end=' ')
  print("")

 

 

[그리디]

 

3120: 리모컨

더보기
a, b = map(int, input().split())
target = abs(a - b)

# 먼저 10으로 나눠준다
result = target // 10
target = target % 10


if target in [1, 5]: # 1: +1 / 5: +5
  result += 1
elif target in [2, 4, 6, 9]: # 2: +1,+1 / 4: 5,-1 / 6: 5,+1 / 9: +10,-1
  result += 2
elif target in [3, 7, 8]: # 3: +1,+1,+1 / 7: +5,+1,+1 / 8: +10,-1,-1
  result += 3

print(result)

쓸데없이 생각을 너무 복잡하고 길게 하는것 같다. 최적해를 찾기 위해 생각을 단순화 시킬 필요가 있다

고작 이거하나 짜는데 1시간이 걸렸다

 

3321: 최고의 피자

더보기
t = int(input())
dPrice, tPrice = map(int, input().split())
dCalorie = int(input())

tCalorie = []
for i in range(t):
  tCalorie.append(int(input()))
  
# cpd의 효율을 위해 내림차순 정렬
tCalorie.sort(reverse=True)

totalCalorie = dCalorie
totalPrice = dPrice
cpd = totalCalorie // totalPrice # calorie per dollar

for x in tCalorie:
  # 토핑의 cpd가 전체 cpd보다 높으면 토핑 추가
  if (x // tPrice) > cpd:
    totalCalorie += x
    totalPrice += tPrice
    cpd = totalCalorie // totalPrice
  # 오름차순 정렬이기때문에 한번만 만족하지 못해도 루프 탈출
  else:
    break

print(format(cpd,".0f"))

접근은 거의 다 했는데 누적 평균값을 고려하지 않아서 조금 헤맸음

 

4040: 펜션

더보기
from sys import stdin

period, r = map(int, stdin.readline().split())

schedule = [0] * period

for i in range(0, period):
  schedule[i] = (list(map(str, stdin.readline().rstrip())))

start, end = map(int, stdin.readline().split())
start -= 1 # 인덱스 접근을 편하게 하기위해 감소
end -= 1
changeCount = -1

while start < end:
  maxDay = 0
  
  for i in range(r):
    count = 0
    for j in range(start, end):
      # 빈방을 발견하면 계속 확인함
      if schedule[j][i] in 'O':
        count += 1
      else:
        break
    # 최대 숙박 가능일
    if maxDay < count:
      maxDay = count

  # 숙박 가능일이 0이 아니면 방이 있음
  if maxDay != 0:
    start += maxDay
    changeCount += 1
  # 숙박 가능일이 0이면 예약이 다 찬상태
  else:
    changeCount = -1
    break

print(changeCount)

시간초과가 계속 뜨길래 입력방법도 바꿔보고 했다가 뒤늦게 안 사실은 마지막에 break 하나를 안넣어서 루프탈출을 못해서 그런거였다. 그걸 못찾고 계속 코드 다듬다가 30분이 갔다

이번에는 충분히 할 수 있는데도 '이 방법은 아니지 않을까?' 하면서 고민을 너무 오래했다

최대 숙박 가능일들을 뽑아서 방 번호와 튜플로 묶어서 리스트에 보관하는 뻘짓을 했었는데 조금 생각해보니 그런 데이터를 보관할 필요가 없다는걸 깨닫고 다 날려버림

 

4713: 공주님의 정원

더보기
# [0]시작월 [1]시작일 [2]종료월 [3]종료일

# 3/1 ~ 11/30
# 1. 시작일(초기3/1) 이하 꽃중에 가장 늦게까지 피는 꽃 선택
# 2. 해당 꽃 종료일 이하 꽃중에 현재 종료일보다 더 뒤쪽으로 가장 늦게까지 피는 꽃 선택
# 만약 선택할 수 없다면 0 반환후 즉시 종료
# 매 선택마다 11/30이 초과되는지 확인해야한다
# 선택된 꽃 카운팅 해서 출력

n = int(input())

array = [0] * n
for i in range(n):
  array[i] = list(map(int, input().split()))

# 시작월일 기준으로 정렬
array.sort(key = lambda x: (x[0], x[1]))

index, result = 0, 0
start = [3, 1]
end = [11, 30]

longFlower = array[0]
while True:
  count = 0
  for i in range(index, n):
    # 시작일보다 아래에 있는 꽃 탐색
    if (array[i][0] < start[0]) or (array[i][0] <= start[0] and array[i][1] <= start[1]):
      # 가장 늦게까지 피는 꽃 탐색
      longFlower = max(longFlower, array[i], key = lambda x: (x[2], x[3]))
      count += 1
      index = i + 1 # 루프 횟수를 줄이기 위한 변수
    else:
      break

  # 시작 날짜를 꽃의 끝나는 날로 재지정
  start[0], start[1] = longFlower[2], longFlower[3]
  result += 1

  # 조건을 만족한 경우 루프 탈출
  if start[0] > end[0]:
      break
  # 조건을 하나도 찾지 못한경우 경우의 수가 없음
  elif count == 0:
    result = 0
    break

print(result)

220719 solved

뭔가.. 뭔가 좀 깔끔하지 않은 것 같은데 아무튼 풀었음

처음에 주석으로 워크플로우 대충 구상해놓고 하니까 수월했음

 

[BFS/DFS]

 

2102: 배수(Hard)

더보기
from collections import deque

n = int(input())

def bfs(pivot, start):
  queue = deque([start])

  while queue:
    val = queue.popleft()

    # 최대 범위보다 크면 루프 종료
    if val >= 2**64:
      return 0
    # 나누어지면 공배수라는 뜻
    elif val % pivot == 0:
      return val

    # 큐에 값 추가. 그림으로 그리면 이진트리와 비슷한 그림이 그려짐
    queue.append(val * 10)
    queue.append(val * 10 + 1)

print(bfs(n, 1))

220716 solved

BFS 이용. 이상하게 문제 이해가 오래걸려서 풀이를 좀 찾아본 뒤에서야 이해했음

 

2605: 캔디팡

더보기
# 2605 캔디팡 220715

width, height = 7, 7

graph = []
for i in range(height):
  graph.append(list(map(int, input().split())))

# 7x7 리스트 초기화
visited = [[False] * width for _ in range(height)]

count = 0

def dfs(x, y, color):
  global count
  
  if x <= -1 or x >= width or y <= -1 or y >= height:
    return False

  # 방문하지 않음과 동시에 같은 색상인것만 골라서 방문처리
  if visited[x][y] == False and graph[x][y] == color:
    visited[x][y] = True
    count += 1
    dfs(x+1, y, color)
    dfs(x-1, y, color)
    dfs(x, y+1, color)
    dfs(x, y-1, color)
    return True

  return False

result = 0

for i in range(width):
  for j in range(height):
    dfs(i, j, graph[i][j])
    # 3개 이상의 색이 연달아 있는 경우만 카운팅
    if count >= 3:
      result += 1
    count = 0

print(result)

220715 solved

DFS 이용

 

2610: 그림판 채우기

더보기
# _: 색칠되지 않은 부분, *: 색칠된 부분

paint = []
for i in range(10):
  paint.append(list(input()))

x, y = map(int, input().split())

def dfs(array, _x, _y):
  if _x <= -1 or _x >= 10 or _y <= -1 or _y >= 10:
    return

  # 보통 인지하는 x,y와 배열의 행렬은 반대이므로 바꿔서 사용
  if array[_y][_x] == '_':
    array[_y][_x] = '*'
    dfs(array, _x+1, _y)
    dfs(array, _x-1, _y)
    dfs(array, _x, _y+1)
    dfs(array, _x, _y-1)
  else:
    return

dfs(paint, x, y)

for i in range(10):
  for j in range(10):
    print(paint[i][j], end='')
  print("")

220716 solved

일반적인 DFS. visited 처리를 따로 안해도 됨

 

3212: 위상정렬

더보기
from queue import PriorityQueue

v, n = map(int, input().split())

graph = [[0] for _ in range(v+1)]
indegree = [0] * (v+1)
p_queue = PriorityQueue()

for i in range(n):
  x, y = input().split()
  x, y = int(x), int(y)
  graph[x].append(y)
  indegree[y] += 1

for i in range(1, v+1):
  if indegree[i] == 0:
    p_queue.put(-i)

while not p_queue.empty():
  here = -p_queue.get()
  print(here)

  for i in graph[here]:
    indegree[i] -= 1
    if indegree[i] == 0:
      p_queue.put(-i)

정답은 이건데 솔직히 봐도 아직 모르겠음

 

 

 

삽질의 기록들

# v: 정점의 개수 n: 간선의 개수. 인덱스는 둘다 1부터 쓸것

from queue import PriorityQueue

v, n = map(int, input().split())

# 열n+1 행v+1. 행 인덱스 0은 버릴거기때문에 v만 한개 더 크게
# 앞쪽이 가로길이(열/간선), 뒤쪽이 세로길이(행/정점)
graph = [[0] for _ in range(v+1)]

# 탐색 시작 노드를 저장할 변수
init_v = 0

for i in range(n):
  x, y = input().split()  
  graph[int(x)].append(int(y))
  if i == 0:
    init_v = int(x)
    
result = []

def dfs(array, start, visited):
  # 우선순위 큐 사용 선언
  p_queue = PriorityQueue()
  p_queue.put(start)
  visited[start] = True

  # 큐가 빌때까지
  while not p_queue.empty():
    v = p_queue.get() 
    # 우선순위 큐를 통해 나온 값은 언제나 최소값과 중복이 아님을 보장받는다
    result.append(v)

    for i in range(1, len(array[v])):
      if not visited[array[v][i]]:
        p_queue.put(array[v][i])
        visited[array[v][i]] = True
        
  return

# 방문을 체크하는 리스트
visitedCheck = [False] * (v+1)

dfs(graph, init_v, visitedCheck)

# 주어진 노드 개수만큼 들어가지 않았다면 탐색을 실패했다는 소리
# 애초에 중복은 우선순위 큐에 들어가지 않으니 순회인지, 끊긴건지는 알 수 없음
if len(result) <= v-1:
  print(-1)
else:
  for i in range(len(result)):
    print(result[i])

반례를 보니 우선순위 큐로 풀리네? 해서 짜놨더니 막히고 다음 반례를 확인하니까 아니었음

여전히 헤메고 있는중

 

 

 

'알고리즘 > 문제풀이' 카테고리의 다른 글

백준(BOJ) 문제 풀이  (0) 2022.07.20
이코테 문제들 힌트와 풀이  (0) 2022.07.14

짧은 개념들

파이썬에서 입력은 기본적으로 문자열로 인식된다

우선순위 큐는 from queue import PriorityQueue 로 쓸수 있다

힙은 최소 힙만 제공되기 때문에 내림차순 정렬을 하고싶다면 힙에 데이터를 넣을 때, 부호를 바꿔서 넣고 꺼낼때 다시 부호를 바꿔서 꺼내면 된다

빠르게 입력 받기

더보기
import sys
# 하나의 문자열 데이터 입력받기
input_data = sys.stdin.readline().rstrip()

# 입력받은 문자열 그대로 출력
print(input_data)

입력 데이터의 개수가 많은 문제에 input() 함수를 사용하면 동작 속도가 느려서 시간 초과 판정이 나올수 있어서 sys 라이브러리의 readline() 함수를 이용하는게 좋다. 이후에 rstrip() 함수를 꼭 호출해 주어야 데이터에 공백이 포함되지 않는다

 

리스트

더보기

''.join(리스트)

리스트를 문자열로 변환

 

변수 = []

리스트로 선언

 

리스트.append(변수)

변수를 리스트 가장 뒤에 삽입

 

리스트 컴프리헨션

리스트를 초기화 하는데에 있어서 간결하게 표현하고 조건이나 반복을 할수 있다.

사용 예) d = [[0] * m for _ in range(n)] # 0으로 초기화 된 n*m의 2차원 배열 (정확히는 배열이 아니지만 배열처럼 사용 가능)

 

 

리스트[::-1] / 리스트

전자는 최상단 (가장 나중에 들어온 원소), 후자는 최하단 (가장 먼저 들어온 원소) 부터 접근한다

파이썬에서 리스트는 스택처럼 이용할 수 있다

 

튜플

한번 선언된 값을 변경할 수 없다.

리스트는 대괄호, 튜플은 소괄호를 이용.

 

(), [], {} 의 용도

() = 튜플 / [] = 리스트 / {} = 딕셔너리

 

 

 

A in B

A배열 안에 B요소가 있는지 검사후 True, False를 반환해줌

사용 예) if s in "string"

 

ord(문자)

하나의 문자를 인자로 받고 해당 문자에 해당하는 아스키코드 정수 반환

ord('a')는 97을 반환한다

 

chr(정수)

하나의 정수를 인자로 받고 해당 정수에 해당하는 아스키코드 문자 반환

chr(97)은 a를 반환한다

 

.isalpha()

해당 문자가 한글or영문인지 확인. 문자형 변수에만 사용이 되는 것 같음. 특수문자, 숫자에 대해서는 False 반환

 

.isalnum()

위에서 숫자까지 포함됨

 

.isdigit()

해당 문자/문자열이 숫자로만 이루어져 있는지 판별. 음수/소수점 제외. 숫자처럼 생긴 모든 글자를 숫자로 침

 

.isnumeric()

isdigit와 유사하지만 숫자값 표현에 해당하는 문자열까지 인정한다. 제곱근, 분수, 등등

 

global 변수

함수 밖에서 선언된 경우 함수 안에서는 명시적으로 global을 붙여주고 사용해야 함

함수 밖에서 명시해주어도 함수 내에서 사용시 명시해주지 않으면 지역변수처럼 사용된다

 

print(~~, end=' ')

줄바꿈이 아닌 공백문자를 출력한다

 

print(~~, sep='')

공백을 모두 없애준다

 

변수 = int(input(), 16)

16진수로 입력받는다. 2, 8, 16 가능

 

sum(배열)

배열 안의 수를 모두 합해준다

 

 

[문자열]
index와 find의 차이. find는 값을 못찾으면 -1을 반환. index는 오류를 발생시킴

[사전]
사전에서 배열처럼 직접 접근하는 방법과 get 모두 용도는 동일한데 직접 접근시 값이 없으면 오류가 나옴. get은 None반환
키 삭제는 del

[집합]
순서 없음. 중복허용 안함
선언시 {}로 감싸거나 리스트를 set()으로 감싸면 됨
두개의 집합을 & 연산시 교집합 되는 부분만 남음. 혹은 .intersection
두개의 집합을 | 연산시 합집합이 됨. 혹은 union
두개의 집합을 - 연산시 차집합이 됨. 혹은 difference

add와 remove로 값 추가, 삭제 가능

[함수]
가변인자. 매개변수를 *value같이 앞에 *을 붙여서 받으면 된다. 함수 내에서는 for문으로 접근 가능

[출력포맷]
{} .format 사용시 {}안에 인자들을 채워넣어서 출력포맷을 바꿀수 있다
{0:^<+30,} = 빈자리를 ^로 채우고, < 왼쪽정렬, +부호표시, 총 30자리, 3자리마다 ,를 찍어줌. 필요없는건 제외해도 됨

'프로그래밍 > Python' 카테고리의 다른 글

[자료형] 집합  (0) 2022.07.22
[자료형] 딕셔너리(사전)  (0) 2022.07.22
[자료형] 리스트 & 튜플  (0) 2022.07.22
[자료형] 문자열  (0) 2022.07.22
sort 함수에서 key가 다중조건일때  (0) 2022.07.18

[그리디]

 

매 순간마다 최적의 선택을 함. 현재의 선택이 나중에 미칠 영향을 고려하지 않는다

그리디 알고리즘 유형의 문제는 문제를 풀기위한 최소한의 아이디어를 떠올릴 수 있는 능력을 요구한다

대부분의 그리디 알고리즘의 문제는 최소한의 아이디어를 떠올리고 그것이 정당한지 검토할 수 있어야한다

 

[구현]

 

머릿속에 있는 알고리즘을 소스코드로 바꾸는 과정

풀이를 떠올리는 것은 어렵지 않지만 소스코드로 옮기기 어려운 문제

 

*완전탐색 : 모든 경우의 수를 주저 없이 다 계산하는 해결 방법

*시뮬레이션 : 문제에서 제시한 알고리즘을 한 단계씩 차례대로 직접 수행해야 하는 문제 유형

 

[DFS/BFS]

 

코딩 테스트에서 매우 자주 등장하는 유형이므로 반드시 숙지해야 함

 

*탐색 : 많은 양의 데이터 중에서 원하는 데이터를 찾는 과정

*자료구조 : 데이터를 표현하고 관리하고 처리하기 위한 구조

 

스택은 후입선출, 큐는 선입선출 구조이다

 

재귀 함수(Recursive Funciton)는 DFS에 자주 사용된다

활용 : 최대공약수 계산(유클리드 호제법)

더보기
def gcd(a, b):
  if a % b == 0:
    return b
  else:
    return gcd(b, a % b)

유클리드 호제법을 재귀함수로 구현

두 자연수 A, B에 대하여 (A > B) A를 B로 나눈 나머지를 R이라고 했을 때, A와 B의 최대공약수는 B와 R의 최대공약수와 같다

재귀 함수 <-> 반복문 간에 서로 동일한 기능을 구현할 수 있지만 상황에 따라 유불리가 서로 존재하기 때문에 잘 선택해야 한다

 

DFS (깊이 우선 탐색)

보통 스택으로 구현한다. 재귀함수로도 구현 가능

더보기
def dfs(graph, v, visited):
  # 현재 노드를 방문 처리
  visited[v] = True
  print(v, end=' ')
  # 현재 노드와 연결된 다른 노드를 재귀적으로 방문
  for i in graph[v]:
    if not visited[i]:
      dfs(graph, i, visited)

# 2차원 리스트로 각 노드가 연결된 정보를 표현
graph = [
  [],
  [2, 3, 8],
  [1, 7],
  [ 1, 4, 5],
  [3, 5],
  [3, 4],
  [7],
  [2, 6, 8]
  [1, 7]
]

# 1차원 리스트로 각 노드가 방문된 정보를 표현
visited = [False] * 9

dfs(graph, 1, visited)

 

BFS (너비 우선 탐색)

보통 큐로 구현한다.

간선의 거리가 모두 같을때 최단거리를 찾을 때 사용할 수 있다

더보기
from collections import deque

def bfs(graph, start, visited):
  # 큐 구현을 위해 deque 라이브러리 사용
  queue = deque([start])
  # 현재 노드를 방문 처리
  visited[start] = True
  # 큐가 빌 때까지 반복
  while queue:
    v = queue.popleft()
    print(v, end=' ')
    # 아직 방문하지 않은 인접한 원소들을 큐에 삽입
    for i in graph[v]:
      if not visited[i]:
        queue.append(i)
        visited[i] = True

# 2차원 리스트로 각 노드가 연결된 정보를 표현
graph = [
  [],
  [2, 3, 8],
  [1, 7],
  [1, 4, 5],
  [3, 5],
  [3, 4],
  [7],
  [2, 6, 8],
  [1, 7]
]

# 1차원 리스트로 각 노드가 방문된 정보를 표현
visited = [False] * 9

bfs(graph, 1, visited)

 

DFS/BFS 구현시 첫 인덱스를 사용하지 않고 다음 인덱스부터 사용한다면 노드의 인덱스가 배열의 인덱스에 그대로 대응되기 때문에 첫 인덱스는 구현의 편의성을 위해 비워놓고 사용하는 편이다

 

[정렬]

 

데이터를 특정한 기준에 따라서 순서대로 나열하는 것

 

*선택정렬 : 처리되지 않은 데이터 중, 가장 작은 숫자를 선택해 맨 앞의 데이터와 바꾸는것을 반복. O(N²)

*삽입정렬 : 처리되지 않은 데이터를 하나씩 골라 적절한 위치에 삽입. 데이터가 거의 정렬되어 있는 상태라면 매우 빠름. O(N²)이지만 모두 정렬이 되어있는 최선의 경우에는 O(N)

더보기
array = [7, 5, 9, 0, 3, 1, 6, 2, 4, 8]

for i in range(1, len(array)):
  # i부터 1까지 1씩 감소하며 반복함
  for j in range(i, 0, -1):
    # 왼쪽의 값보다 작으면
    if array[j] < array[j-1]:
      # 서로 값을 교환한다
      array[j], array[j-1] = array[j-1], array[j]
    # 현재 값보다 더 작은게 없다면 루프 종료
    else:
      break

print(array)

*퀵 정렬 : 기준 데이터를 설정하고 그 기준보다 큰 데이터와 작은 데이터의 위치를 바꾸는 방법. 평균적으로 O(NlogN)이지만 최악의 경우에는 O(N²). 삽입정렬과 다르게 이미 정렬된 데이터에 대해서 최악의 시간 복잡도를 가진다

더보기
array = [7, 5, 9, 0, 3, 1, 6, 2, 4, 8]

def quick_sort(array, start, end):
  # 시작 인덱스가 끝 인덱스보다 크거나 같으면 즉시 종료
  if start >= end:
    return

  pivot = start
  left = start+1
  right = end

  # 좌측 인덱스가 우측 인덱스보다 작을 때
  while(left <= right):
    # pivot보다 크거나 같은 값을 찾을 때까지 우측으로 한칸씩 이동
    while(left <= end and array[left] <= array[pivot]):
      left += 1
    # pivot보다 작거나 같은 값을 찾을 때까지 좌측으로 한칸씩 이동
    while(right > start and array[right] >= array[pivot]):
      right -= 1
    # 인덱스가 서로 교차하면 피벗과 right를 바꿔준다
    if(left > right):
      array[right], array[pivot] = array[pivot], array[right]
    # 그렇지 않다면 left와 right를 바꿔준다
    else:
      array[left], array[right] = array[right], array[left]

  # 가장 좌측부터 새로운 기준 값 직전까지의 범위로 설정
  quick_sort(array, start, right-1)
  # 새로운 기준 값 직후부터 가장 우측까지의 범위로 설정
  quick_sort(array, right+1, end)

quick_sort(array, 0, len(array)-1)
print(array)

분할-정복의 대표적인 알고리즘.

병합 정렬과 더불어 대부분의 프로그래밍 언어들의 정렬 라이브러리의 근간이 되는 알고리즘.

 

array = [7, 5, 9, 0, 3, 1, 6, 2, 4, 8]

def quick_sort(array):
  # 리스트가 하나 이하의 원소만을 담고 있다면 종료
  if len(array) <= 1:
    return array
    
  pivot = array[0] # 피벗은 첫 번째 원소
  tail = array[1:] # 피벗을 제외한 리스트

  left_side = [x for x in tail if x <= pivot] # 분할된 왼쪽 부분
  right_side = [x for x in tail if x > pivot] # 분할된 오른쪽 부분

  return quick_sort(left_side) + [pivot] + quick_sort(right_side)

print(quick_sort(array))

파이썬의 장점을 활용해 코드 간결화가 가능하다. 리스트 슬라이싱과 리스트 컴프리헨션 사용

단, 좌우로 분할시키는 과정에서 시간적 손해가 조금 더 있다

*계수정렬 : 데이터의 크기 범위가 제한되어 정수 형태로 표현할 수 있을 때 사용 가능. 특정조건을 만족할 때만 사용할 수 있지만 매우 빠르게 동작함

데이터의 값과 동일한 인덱스의 값을 1씩 증가시킴. O(N+K)

더보기
array = [7, 5, 9, 0, 3, 1, 6, 2, 4, 8, 0, 5, 2]

count = [0] * (max(array) + 1)

for i in range(len(array)):
  count[array[i]] += 1 # 각 데이터에 해당하는 인덱스의 값 증가

for i in range(len(count)): # 리스트에 기록된 정렬 정보 확인
  for j in range(count[i]):
    print(i, end=' ')

 

데이터가 0과 999,999 단 2개만 존재하는 경우 메모리를 너무 크게 잡아먹는 비효율성이 발생할 수 있다

동일한 값을 가지는 데이터가 여러 개 등장할 때 효과적으로 사용할 수 있다

 

코딩 테스트에서 정렬 알고리즘이 사용되는 경우를 일반적으로 3가지 문제 유형으로 나타낼 수 있다.

1. 정렬 라이브러리로 풀 수 있는 문제 : 라이브러리 사용법 숙지만 하고 있으면 어렵지 않음

2. 정렬 알고리즘의 원리에 대해서 물어보는 문제 : 각 정렬의 원리를 알고 있어야 문제를 풀 수 있음

3. 더 빠른 정렬이 필요한 문제 : 계수 정렬 등의 다른 알고리즘을 이용하거나 문제에서 기존에 알려진 알고리즘의 구조적인 개선을 거쳐야 문제를 풀 수 있음

 

[이진 탐색]

 

*순차 탐색 : 리스트 안에 있는 특정한 데이터를 찾기 위해 앞에서부터 데이터를 하나씩 차례대로 확인하는 방법

*이진 탐색 : 정렬되어 있는 리스트에서 탐색 범위를 절반씩 좁혀가며 데이터를 탐색하는 방법. 탐색 범위를 절반씩 줄여가기 때문에 O(logN)을 보장한다.

더보기
# 재귀로 구현
def binary_search(array, target, start, end):
  if start > end:
    return None
  mid = (start + end) // 2
  # 찾은 경우 중간점 인덱스 반환
  if array[mid] == target:
    return mid
  # 중간점의 값보다 찾고자 하는 값이 작은 경우 왼쪽 확인
  elif array[mid] > target:
    return binary_search(array, target, start, mid - 1)
  # 중간점의 값보다 찾고자 하는 값이 큰 경우 오른쪽 확인
  else:
    return binary_search(array, target, mid + 1, end)

# 원소의 개수와 찾고자 하는 값을 입력 받기
n, target = map(int, input().split())
# 전체 원소 입력 받기
array = list(map(int, input().split()))

# 이진 탐색 수행 결과 출력
result = binary_search(array, target, 0, n - 1)
if result == None:
  print("원소가 존재하지 않습니다.")
else:
  print(result + 1)

 

# 반복문으로 구현
def binary_search(array, target, start, end):
  while start <= end:
    mid = (start + end) // 2
    # 찾은 경우 중간점 인덱스 반환
    if array[mid] == target:
      return mid
    # 중간점의 값보다 찾고자 하는 값이 작은 경우 왼쪽 확인
    elif array[mid] > target:
      end = mid - 1
    # 중간점의 값보다 찾고자 하는 값이 큰 경우 오른쪽 확인
    else:
      start = mid + 1
  return None

# 원소의 개수와 찾고자 하는 값을 입력 받기
n, target = map(int, input().split())
# 전체 원소 입력 받기
array = list(map(int, input().split()))

# 이진 탐색 수행 결과 출력
result = binary_search(array, target, 0, n - 1)
if result == None:
  print("원소가 존재하지 않습니다.")
else:
  print(result + 1)

 

추가로 bisect_left, bisect_right라는 라이브러리 함수도 기본 제공된다. c++의 lower_bound, upper_bound와 동일함

값이 특정 범위에 속하는 데이터의 개수를 구하거나 같은 숫자가 몇개가 있는지 구할때 사용할 수 있다

 

코딩 테스트에서의 이진 탐색은 단골로 나오는 문제이므로 반드시 숙지해 두어야 한다.

문제를 풀때 큰 탐색범위를 본다면 가장 먼저 이진 탐색을 떠올려야 한다.

 

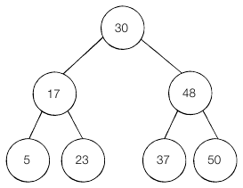
이진 탐색 트리

더보기

다음과 같은 특징을 지닌다

- 부모 노드보다 왼쪽 자식 노드가 작다

- 부모 노드보다 오른쪽 자식 노드가 크다

왼쪽 자식 노드 > 부모 노드 > 오른쪽 자식 노드 가 항상 성립해야 한다

 

파라메트릭 서치

최적화 문제를 결정 문제(예/아니오)로 바꾸어 해결하는 기법

재귀적으로 구현하는 것보다 반복문으로 구현하는게 더 좋을수 있다

개념적으로는 이진 탐색이지만 문제에 따라 데이터의 정렬 여부는 무관할 수 있다

 

[다이나믹 프로그래밍] (=동적 계획법)

 

메모리를 적절히 사용하여 수행 시간 효율성을 비약적으로 향상시키는 방법

이미 계산된 결과(작은 문제)는 별도의 메모리 영역에 저장하여 다시 계산하지 않도록 함

Top-down과 Bottom-up 방식으로 구현함

핵심은 중복되는 연산을 줄이자는것

동적 계획법은 다음 조건을 만족할 때 사용할 수 있다

 

- 큰 문제를 작은 문제로 나눌 수 있다. (최적 부분 구조)
- 작은 문제에서 구한 정답은 그것을 포함하는 큰 문제에서도 동일하다. (중복되는 부분 문제)

 

동적 계획법으로 해결할 수 있는 대표적인 예로 피보나치 수열이 있다

더보기
# 한 번 계산된 결과를 메모이제이션 하기 위한 리스트 초기화
d = [0] * 100

# 피보나치 함수를 재귀함수로 구현(Top-down)
def fibo(x):
  if x == 1 or x == 2:
    return 1

  # 이미 계산한 적 있는 문제라면 그대로 반환  
  if d[x] != 0:
    return d[x]
    
  # 아직 계산하지 않은 문제라면 점화식에 따라서 피보나치 결과 반환
  d[x] = fibo(x - 1) + fibo(x - 2)
  
  return d[x]

print(fibo(99))

큰 문제를 해결하기 위해 작은 문제를 호출하기 때문에 재귀는 Top-down 방식이다
한번 계산된 결과를 저장하는것을 메모이제이션(캐싱) 이라고 한다

 

# 앞서 계산된 결과를 저장하기 위한 DP 테이블 초기화
d = [0] * 100

d[1] = 1
d[2] = 1
n = 99

# 피보나치 함수를 반복문으로 구현(Bottom-up)
for i in range(3, n+1):
  d[i] = d[i - 1] + d[i - 2]
  
print(d[n])

반대로 작은 문제를 모아 큰 문제를 해결하기 때문에 반복문은 Bottom-up 방식이다
Top-down 방식과 다르게 앞서 계산된 결과를 저장하기 위한 리스트를 DP 테이블 이라고 부른다

 

 

동적 계획법과 분할-정복은 모두 최적 부분 구조를 가질 때 사용할 수 있지만 분할-정복은 중복 부분의 문제가 반복적으로 계산되지 않는다

 

동적 계획법 문제에 접근하는 방법

 

그리디, 구현, 완전 탐색 등의 아이디어로 문제를 해결할 수 있는지 검토 후 풀이 방법이 떠오르지 않으면 동적 계획법을 고려해야 한다.
우선 재귀 함수로 비효율적인 완전 탐색 프로그램을 작성한 뒤에 Bottom-up 방식에서도 그대로 사용될 수 있으면 코드를 개선하는 방법을 사용할 수 있다.

일반적인 코딩 테스트 수준에서는 기본 유형의 다이나믹 프로그래밍 문제가 출제되는 경우가 많음.

 

[최단 경로]

 

다익스트라, 플로이드 워셜 알고리즘이 코딩 테스트에서 가장 많이 등장하는 유형.

 

*다익스트라 최단 경로 알고리즘

음의 간선이 없을 때 정상적으로 동작한다. 실제로 GPS 소프트웨어의 기본 알고리즘으로 채택되기도 한다.

최단거리 테이블을 사용하며 현재 노드까지의 최단거리를 계속 갱신한다.

매 상황에서 방문하지 않은 가장 비용이 적은 노드를 선택해가기 때문에 그리디 알고리즘으로 볼 수 있다.

구현이 쉽지만 느리고, 구현이 까다롭지만 빠른 2가지의 구현 방법이 있다.

 

간단한 다익스트라 알고리즘

 

최초 각 노드에 대한 최단 거리를 담는 1차원 리스트를 선언한다.

이후, 단계마다 방문하지 않은 노드 중에서 최단 거리가 가장 짧은 노드를 선택하기 위해 매 단계마다 1차원 리스트의 모든 원소를 순차 탐색한다.

한 번 처리된 노드의 최단 거리는 고정되어 더이상 바뀌지 않는다.

 

총 O(V)번에 걸쳐서 최단 거리가 가장 짧은 노드를 매번 선형 탐색해야 하고, 현재 노드와 연결된 노드를 매번 일일이 확인하기 때문에 O(V²)의 시간 복잡도를 가진다. (V는 노드의 개수)

전체 노드의 개수가 5천개 이하라면 이런 방법으로도 가능하겠지만 1만개가 넘어가는 문제라면 해결하기 어렵다

더보기
import sys
input = sys.stdin.readline
INF = int(1e9) # 무한을 의미하는 값으로 10억을 설정

# 노드의 개수, 간선의 개수를 입력받기
n, m = map(int, input().split())
# 시작 노드 번호를 입력받기
start = int(input())
# 각 노드에 연결되어 있는 노드에 대한 정보를 담는 리스트를 만들기
graph = [[] for i in range(n + 1)]
# 방문한 적이 있는지 체크하는 목적의 리스트를 만들기
visited = [False] * (n + 1)
# 최단 거리 테이블을 모두 무한으로 초기화
distance = [INF] * (n + 1)

# 모든 간선 정보를 입력받기
for _ in range(m):
  a, b, c = map(int, input().split())
  # a번 노드에서 b번 노드로 가는 비용이 c라는 의미
  graph[a].append((b, c))

# 방문하지 않은 노드 중에서, 가장 최단 거리가 짧은 노드의 번호를 반환
def get_smallest_node():
  min_value = INF
  index = 0 # 가장 최단 거리가 짧은 노드(인덱스)
  for i in range(1, n + 1):
    if distance[i] < min_value and not visited[i]:
      min_value = distance[i]
      index = i
  return index

def dijkstra(start):
  # 시작 노드에 대해서 초기화
  distance[start] = 0
  visited[start] = True
  for j in graph[start]:
    distance[j[0]] = j[1]
  #시작 노드를 제외한 전체 n - 1개의 노드에 대해 반복
  for i in range(n - 1):
    # 현재 최단 거리가 가장 짧은 노드를 꺼내서, 방문 처리
    now = get_smallest_node()
    visited[now] = True
    # 현재 노드와 연결된 다른 노드들 확인
    for j in graph[now]:
      cost = distance[now] + j[1]
      # 현재 노드를 거쳐서 다른 노드로 이동하는 거리가 더 짧은 경우
      if cost < distance[j[0]]:
        distance[j[0]] = cost

dijkstra(start)

for i in range(1, n + 1):
  # 도달할 수 없는 경우, 무한(INFINITY)이라고 출력
  if distance[i] == INF:
    print("INFINITY")
  # 도달할 수 있는 경우 거리를 출력
  else:
    print(distance[i])

 

 

개선된 다익스트라 알고리즘

 

O(ElogV)를 보장한다. (E는 간선의 개수, V는 노드의 개수)

힙 자료구조를 사용한다.

파이썬은 PriorityQueue와 heapq 둘다 우선순위 큐를 지원하지만 보통 heapq가 더 빠르게 동작한다. 

최소 힙은 원소를 꺼내면 가장 값이 작은 원소가 추출되는 특징이 있어서 우선순위 큐와 다익스트라 알고리즘의 기반이 된다.

최단 거리 테이블은 그대로 사용하고 우선순위 큐가 추가 사용된다.

 

우선순위 큐를 적용한 개선된 다익스트라 알고리즘의 작동 과정

 

1. 시작점을 설정하여 시작점->시작점 (거리 0) 의 노드를 최단 거리 테이블 갱신과 갱신된 데이터를 우선순위 큐에 (거리, 노드 번호)의 튜플로 넣어준다.

 

2. 우선순위 큐에서 노드를 꺼내면 현재 노드에서 거리가 가장 짧은 노드가 나오게 된다.

 

3. 해당 노드와 연결된 간선의 길이를 최단 거리 테이블과 비교하여 더 짧은 경우만 갱신시키고 갱신된 값만 튜플로 생성하여 우선순위 큐에 넣어준 뒤 해당 노드의 처리를 끝낸다.

 

4. 2-3을 우선순위 큐가 빌때까지 반복한다.

 

O(ElogV)의 시간 복잡도를 가진다.

우선순위 큐를 필요로 하는 다른 문제 유형과도 흡사하다는 특징이 있다.

최소 신장 트리 문제를 풀 때에도 사용되는 Prim 알고리즘의 구현이 다익스트라 알고리즘의 구현과 흡사하다.

그렇기에 다익스트라 알고리즘을 바르게 이해할 필요가 있다.

 

직관적으로 전체 과정은 E(개의 원소를 우선순위 큐에 넣었다가 모두 빼내는 연산과 매우 유사하다

 

더보기
import heapq
import sys
input = sys.stdin.readline
INF = int(1e9) # 무한을 의미하는 값으로 10억을 설정

# 노드의 개수, 간선의 개수를 입력받기
n, m = map(int, input().split())
# 시작 노드 번호를 입력받기
start = int(input())
# 각 노드에 연결되어 있는 노드에 대한 정보를 담는 리스트를 만들기
graph = [[] for i in range(n + 1)]
# 최단 거리 테이블을 모두 무한으로 초기화
distance = [INF] * (n + 1)

# 모든 간선 정보를 입력받기
for _ in range(m):
  a, b, c = map(int, input().split())
  # a번 노드에서 b번 노드로 가는 비용이 c라는 의미
  graph[a].append((b, c))

def dijkstra(start):
  q = []
  # 시작 노드로 가기 위한 최단 경로는 0으로 설정하여, 큐에 삽입
  heapq.heappush(q, (0, start))
  distance[start] = 0

  while q: # 큐가 비어있지 않다면
    # 가장 최단 거리가 짧은 노드에 대한 정보 꺼내기
    dist, now = heapq.heappop(q)
    # 현재 노드가 이미 처리된 적이 있는 노드라면 무시
    if distance[now] < dist:
      continue
    # 현재 노드와 연결된 다른 인접한 노드들을 확인
    for i in graph[now]:
      cost = dist + i[1]
      # 현재 노드를 거쳐서, 다른 노드로 이동하는 거리가 더 짧은 경우
      if cost < distance[i[0]]:
        distance[i[0]] = cost
        heapq.heappush(q, (cost, i[0]))

dijkstra(start)

for i in range(1, n + 1):
  # 도달할 수 없는 경우, 무한(INFINITY)이라고 출력
  if distance[i] == INF:
    print("INFINITY")
  # 도달할 수 있는 경우 거리를 출력
  else:
    print(distance[i])

 

간단한 다익스트라 알고리즘과 다르게 최단 거리가 가장 짧은 노드를 선택하는 과정이 우선순위 큐를 이용하는 것으로 대체된다. 또한 최단 거리 테이블과 현재 꺼낸 노드의 거리를 비교하는것 자체가 일종의 방문처리이기 때문에 별도의 방문처리를 하지 않아도 된다.

 

 

플로이드-워셜 알고리즘

 

모든 노드에서 다른 모든 노드까지의 최단 경로를 모두 계산.

즉, 모든 지점에서 다른 모든 지점까지의 최단 경로를 모두 구해야 하는 경우에 사용할 수 있다.

 

다익스트라 알고리즘과 마찬가지로 단계별로 거쳐 가는 모든 노드를 기준으로 알고리즘을 수행하지만, 매 단계마다 방문하지 않은 노드 중에 최단 거리를 갖는 노드를 찾는 과정이 필요하지 않음.

다익스트라 알고리즘이 그리디 유형에 속했다면 플로이드-워셜 알고리즘은 DP 유형에 속한다.

 

최단 거리 테이블이 1차원이 아닌 2차원이다. 

 

a에서 b로 가는 최단 거리보다 a에서 k를 거쳐 b로 가는 거리가 더 짧은지 검사하는 점화식

  

시간 복잡도는 노드의 개수 N만큼 최단 거리 테이블을 갱신해야 하기 때문에 O(N×N²) = O(N³)이다.

구현 난이도는 매우 간단하지만 N의 크기가 조금만 늘어나도 사용하기 어렵다.

 

그래프와 최단 거리 테이블을 따로 관리하지 않고 최초 실행시 그래프의 데이터를 받을 때, 최단 거리 테이블에 그래프의 데이터를 그대로 담아서 처리한다.

더보기
INF = int(1e9)

# 노드의 개수 및 간선의 개수를 입력받기
n = int(input())
m = int(input())
# 2차원 리스트(그래프 표현)를 만들고, 모든 값을 무한으로 초기화
graph = [[INF] * (n + 1) for _ in range(n + 1)]
# 자기 자신에서 자기 자신으로 가는 비용은 0으로 초기화
for a in range(1, n + 1):
  for b in range(1, n + 1):
    if a == b:
      graph[a][b] = 0

# 각 간선에 대한 정보를 입력받가, 그 값으로 초기화
for _ in range(m):
  # A에서 B로 가는 비용은 C라고 설정
  a, b, c = map(int, input().split())
  graph[a][b] = c

# 점화식에 따라 플로이드 워셜 알고리즘을 수행
for k in range(1, n + 1):
  for a in range(1, n + 1):
    for b in range(1, n + 1):
      graph[a][b] = min(graph[a][b], graph[a][k] + graph[k][b])

# 수행된 결과를 출력
for a in range(1, n + 1):
  for b in range(1, n + 1):
    # 도달할 수 없는 경우, 무한(INFINITY)이라고 출력
    if graph[a][b] == INF:
      print("INFINITY", end=" ")
    else:
      print(graph[a][b], end=" ")
  print()

 

[그래프 이론]

 

*서로소 집합 : 공통 원소가 없는 두 집합

{1, 2} {3, 4} 는 서로소 관계이지만 {1, 2} {2, 3} 은 2가 공통적으로 포함되어 있기 때문에 서로소 관계가 아니다.

 

*서로소 집합 자료구조 : 서로소 부분 집합들로 나누어진 원소들의 데이터를 처리하기 위한 자료구조

union(합집합), find(탐색) 2개의 연산으로 조작할 수 있다.

노드가 어떤 부모를 가지고 있는지의 정보를 담는 부모 테이블을 사용한다.

부모의 정보만 담고있기 때문에 루트를 확인할때는 재귀적으로 거슬러 올라가야 한다.

더보기
# 특정 원소가 속한 집합을 찾기
def find_parent(parent, x):
  # 루트 노드가 아니라면, 루트 노드를 찾을 때까지 재귀적으로 호출
  if parent[x] != x:
    return find_parent(parent, parent[x])
  return x

# 두 원소가 속한 집합을 합치기
def union_parent(parent, a, b):
  a = find_parent(parent, a)
  b = find_parent(parent, b)
  if a < b:
    parent[b] = a
  else:
    parent[a] = b

# 노드의 개수와 간선(union 연산)의 개수 입력받기
v, e = map(int, input().split())
parent = [0] * (v + 1) # 부모 테이블 초기화

# 부모 테이블상에서, 부모를 자기 자신으로 초기화
for i in range(1, v + 1):
  parent[i] = i

# union 연산을 각각 수행
for i in range(e):
  a, b = map(int, input().split())
  union_parent(parent, a, b)

# 각 원소가 속한 집합 출력
print('각 원소가 속한 집합: ', end='')
for i in range(1, v + 1):
  print(find_parent(parent, i), end=' ')

print()

# 부모 테이블 내용 출력
print('부모 테이블: ', end='')
for i in range(1, v + 1):
  print(parent[i], end=' ')

 

기본적인 서로소 집합 알고리즘. 최악의 경우 find 함수는 O(V)로 작동하기때문에 효율적이지 못하다.

하지만 경로 압축이라는 아주 간단한 과정으로 최적화를 할 수 있다.

 

# 특정 원소가 속한 집합을 찾기
def find_parent(parent, x):
  # 루트 노드가 아니라면, 루트 노드를 찾을 때까지 재귀적으로 호출
  if parent[x] != x:
    parent[x] = find_parent(parent, parent[x])
  return parent[x]

 

union 함수들의 처리 완료후 부모 테이블은 위와 동일하게 나오지만, 이후 find 함수를 한번 호출하면 부모 테이블의 각 노드들의 부모는 루트 노드로 갱신된다.

 

서로소 집합 알고리즘의 시간 복잡도는 대략적으로 O(V+MlogV)이다.

노드의 개수가 1000개이고 union과 find연산이 총 100만번 수행된다면 대략 1000만번 가량의 연산이 수행된다.

시간 복잡도를 줄일 수 있는 방법은 여러가지가 더 있지만 코딩 테스트 수준에서는 경로 압축만 적용해도 충분하다.

 

*서로소 집합을 활용한 사이클 판별 : 무방향 그래프 내에서의 사이클을 판별할 때 사용할 수 있다.

방향 그래프에서의 사이클 여부는 DFS를 이용해야 한다.

 

1. 각 간선을 확인하며 두 노드의 루트 노드를 확인한다

  • 루트 노드가 서로 다르다면 두 노드에 대하여 union 연산을 수행한다.
  • 루트 노드가 서로 같다면 사이클이 발생한 것이다.

2. 그래프에 포함되어 있는 모든 간선에 대하여 1번 과정을 반복한다

더보기
# 특정 원소가 속한 집합을 찾기
def find_parent(parent, x):
  # 루트 노드가 아니라면, 루트 노드를 찾을 때까지 재귀적으로 호출
  if parent[x] != x:
    parent[x] = find_parent(parent, parent[x])
  return parent[x]

# 두 원소가 속한 집합을 합치기
def union_parent(parent, a, b):
  a = find_parent(parent, a)
  b = find_parent(parent, b)
  if a < b:
    parent[b] = a
  else:
    parent[a] = b

# 노드의 개수와 간선(union 연산)의 개수 입력받기
v, e = map(int, input().split())
parent = [0] * (v + 1) # 부모 테이블 초기화

# 부모 테이블상에서, 부모를 자기 자신으로 초기화
for i in range(1, v + 1):
  parent[i] = i

cycle = False # 사이클 발생 여부
  
for i in range(e):
  a, b = map(int, input().split())
  # 사이클이 발생한 경우 종료
  if find_parent(parent, a) == find_parent(parent, b):
    cycle = True
    break
  else:
    union_parent(parent, a, b)

if cycle:
  print("사이클이 발생했습니다.")
else:
  print("사이클이 발생하지 않았습니다.")

  

*신장 트리 : 하나의 그래프가 있을 때 모든 노드를 포함하면서 사이클이 존재하지 않는 부분 그래프.

그래프 알고리즘 문제로 자주 출제되는 유형이다.

  

최소 신장 트리

최소 신장 트리에 포함된 간선의 개수는 (전체 노드의 개수-1) 이다. 기본적으로 트리가 가지는 특징이다.

 

크루스칼 알고리즘

대표적인 최소 신장 트리 알고리즘이다. 그리디 알고리즘으로 분류된다.

 

1. 간선 데이터를 비용에 따라 오름차순으로 정렬한다.

2. 간선을 하나씩 확인하며 현재의 간선이 사이클을 발생시키는지 확인한다.

  • 사이클이 발생하지 않는 경우, 최소 신장 트리에 포함시킨다.
  • 사이클이 발생하는 경우, 최소 신장 트리에 포함시키지 않는다.

3. 모든 간선에 대해 2번 과정을 반복한다.

 

더보기
# 특정 원소가 속한 집합을 찾기
def find_parent(parent, x):
  # 루트 노드가 아니라면, 루트 노드를 찾을 때까지 재귀적으로 호출
  if parent[x] != x:
    parent[x] = find_parent(parent, parent[x])
  return parent[x]

# 두 원소가 속한 집합을 합치기
def union_parent(parent, a, b):
  a = find_parent(parent, a)
  b = find_parent(parent, b)
  if a < b:
    parent[b] = a
  else:
    parent[a] = b

# 노드의 개수와 간선(union 연산)의 개수 입력받기
v, e = map(int, input().split())
parent = [0] * (v + 1) # 부모 테이블 초기화

# 모든 간선을 담을 리스트와, 최종 비용을 담을 변수
edges = []
result = 0

# 부모 테이블상에서, 부모를 자기 자신으로 초기화
for i in range(1, v + 1):
  parent[i] = i

# 모든 간선에 대한 정보를 입력 받기
for _ in range(e):
  a, b, cost = map(int, input().split())
  # 비용순으로 정렬하기 위해서 튜플의 첫 번째 원소를 비용으로 설정
  edges.append((cost, a, b))

# 간선을 비용순으로 정렬
edges.sort()

for edge in edges:
  cost, a, b = edge
  # 사이클이 발생하지 않는 경우에만 집합에 포함
  if find_parent(parent, a) != find_parent(parent, b):
    union_parent(parent, a, b)
    result += cost

print(result)

 

간선의 개수가 E개일 때, O(ElogE)의 시간 복잡도를 가진다. (표준 정렬 라이브러리 기준)

 

*위상 정렬 : 사이클이 없는 방향 그래프의 모든 노드를 방향성에 거스르지 않도록 순서대로 나열하는 것

큐 또는 스택으로 구현할 수 있다.

 

1. 진입차수가 0인 노드를 큐에 넣는다.

2. 큐가 빌 때까지 다음의 과정을 반복한다.

  • 큐에서 원소를 꺼내 해당 노드에서 출발하는 간선을 그래프에서 제거한다.
  • 새롭게 진입차수가 0이 된 노드를 큐에 넣는다.

 

진입차수 : 특정한 노드로 들어오는 간선의 개수

진출차수 : 특정한 노드에서 나가는 간선의 개수

 

위상 정렬은 DAG(Direct Acyclic Graph: 순환하지 않는 방향 그래프)에 대해서만 수행할 수 있다.

한 단계에서 큐에 새롭게 들어가는 원소가 2개 이상일 경우 여러가지 답이 존재한다.

모든 원소를 방문하기 전에 큐가 빈다면 사이클이 존재한다고 판단할 수 있다.

더보기
# 큐를 이용한 위상 정렬

from collections import deque

# 노드의 개수와 간선의 개수 입력받기
v, e = map(int, input().split())

# 모든 노드에 대한 진입차수는 0으로 초기화
indegree = [0] * (v + 1)
# 각 노드에 연결된 간선 정보를 담기 위한 연결 리스트 초기화
graph = [[] for i in range(v  +1)]

# 방향 그래프의 모든 간선 정보를 입력 받기
for _ in range(e):
  a, b = map(int, input().split())
  graph[a].append(b)
  # 진입 차수를 1 증가
  indegree[b] += 1

# 위상 정렬 함수
def topology_sort():
  result = [] # 알고리즘 수행 결과를 담을 리스트
  q = deque() # 큐 기능을 위한 deque 라이브러리 사용
  # 처음 시작할 때는 진입차수가 0인 노드를 큐에 삽입
  for i in range(1, v + 1 ):
    if indegree[i] == 0:
      q.append(i)
  # 큐가 빌 때까지 반복
  while q:
    # 큐에서 원소 꺼내기
    now = q.popleft()
    result.append(now)
    # 해당 원소와 연결된 노드들의 진입차수에서 1 빼기
    for i in graph[now]:
      indegree[i] -= 1
      # 새롭게 진입차수가 0이 되는 노드를 큐에 삽입
      if indegree[i] == 0:
        q.append(i)
  # 위상 정렬을 수행한 결과 출력
  for i in result:
    print(i, end=' ')
    
topology_sort()

 

모든 노드를 확인하며 각 노드에서 나가는 간선을 차례대로 제거해야하기 때문에 시간 복잡도는 O(V+E)이다.

 

'알고리즘 > 공부' 카테고리의 다른 글

PS 활용 문법들  (0) 2022.12.29
코딩 테스트에서 자주 출제되는 기타 알고리즘  (0) 2022.07.22
위상정렬  (0) 2022.07.17
토막지식/짧은내용들 정리  (0) 2022.07.16
그리디 알고리즘, 동적 계획법  (0) 2022.07.05

+ Recent posts